Hello! Welcome toShanghai Daeyeon Chemicals Co.,Ltd !
SEARCH
大燃公告
大燃化学谷一站式采购平台上线啦!
!
中文
English
한국어
日本語
Toggle navigation
HOME
ABOUT US
PRODUCTS
Polyimide monomers
Photoresist materials
Lithium battery materials
OLED materials and intermediates
Other products
INFORMATION
CONTACT US
中文
English
한국어
日本語
Home
PRODUCTS
Lumtec Materials
Lumtec Materials
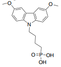
MeO-4PACz
(4-(3,6-Dimethoxy-9H-carbazol-9-yl)butyl)phosphonic acid
CAS:
2922526-56-3
Molecular formula:
C18H22NO5P
Molecular weight:
363.34
Inquiry
Collection
Basic information
Product name:
MeO-4PACz
English name:
(4-(3,6-Dimethoxy-9H-carbazol-9-yl)butyl)phosphonic acid
Cas:
2922526-56-3
×
Scan wechat